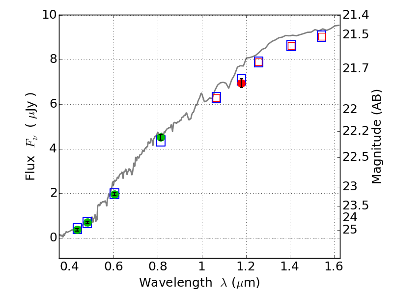
PLCKG287+32 IR detection object #2774

Color images and BPZ results
Catalog: 2774.cat
Black segments are analyzed here.   Roll mouse over color images to view segments.
Best viewed in a wide browser window (1200 pixels or more).   Download SED & P(z) plots to view larger versions.
In P(z) plots: Yellow lines mark the cluster redshift z = 0.390,  

Object #2774   x,y = (3482, 1803)   RA, Dec = (11:50:46.920, -28:05:38.40) = (177.69550, -28.09400)   BPZ = 0.325 [0.248--0.365]   type = 3.70 (Ell4_A_0 - Ell5_A_0)   stellarity = 0.04   chisq2 = 0.06   ODDS = 0.91   z_cluster = 0.390