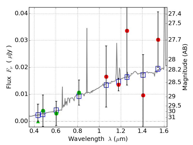
PLCKG287+32 IR detection object #274

Color images and BPZ results
Catalog: 274.cat
Black segments are analyzed here.   Roll mouse over color images to view segments.
Best viewed in a wide browser window (1200 pixels or more).   Download SED & P(z) plots to view larger versions.
In P(z) plots: Yellow lines mark the cluster redshift z = 0.390,  

Object #274   x,y = (2819, 3484)   RA, Dec = (11:50:49.944, -28:03:57.24) = (177.70810, -28.06590)   BPZ = 0.769 [0.345--5.473]   type = 7.40 (Scd_B10 - SB1_B10)   stellarity = 0.56   chisq2 = 0.43   ODDS = 0.07   z_cluster = 0.390