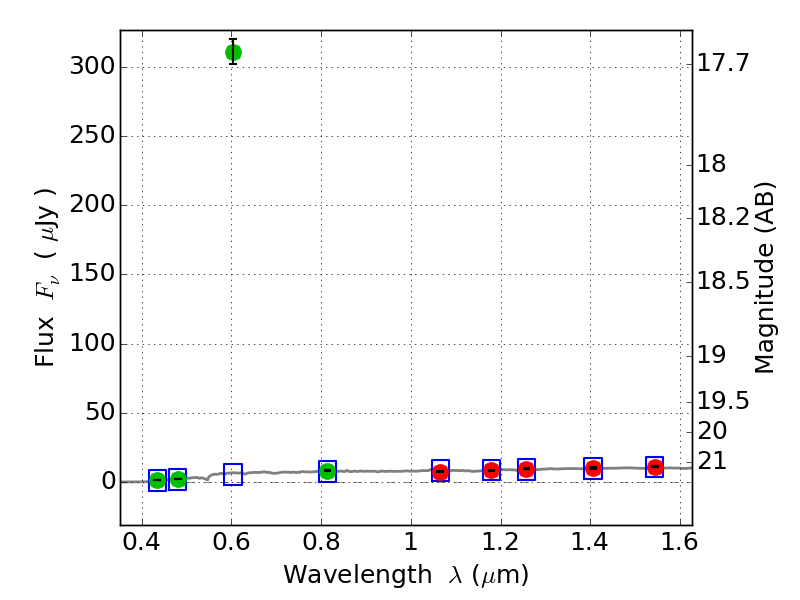
PLCKG287+32 IR detection object #2721

Color images and BPZ results
Catalog: 2721.cat
Black segments are analyzed here.   Roll mouse over color images to view segments.
Best viewed in a wide browser window (1200 pixels or more).   Download SED & P(z) plots to view larger versions.
In P(z) plots: Yellow lines mark the cluster redshift z = 0.390,  

Object #2721   x,y = (3479, 2124)   RA, Dec = (11:50:46.944, -28:05:18.96) = (177.69560, -28.08860)   BPZ = 3.504 [3.465--3.544]   type = 8.90 (SB2_B10 - SB1_B10)   stellarity = 0.03   chisq2 = 184.26   ODDS = 1.00   z_cluster = 0.390