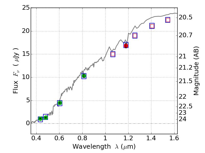
PLCKG287+32 IR detection object #2689

Color images and BPZ results
Catalog: 2689.cat
Black segments are analyzed here.   Roll mouse over color images to view segments.
Best viewed in a wide browser window (1200 pixels or more).   Download SED & P(z) plots to view larger versions.
In P(z) plots: Yellow lines mark the cluster redshift z = 0.390,  

Object #2689   x,y = (1829, 1824)   RA, Dec = (11:50:54.432, -28:05:36.96) = (177.72680, -28.09360)   BPZ = 0.372 [0.313--0.409]   type = 3.70 (Ell4_A_0 - Ell5_A_0)   stellarity = 0.03   chisq2 = 0.02   ODDS = 0.97   z_cluster = 0.390