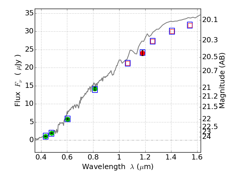
PLCKG287+32 IR detection object #2688

Color images and BPZ results
Catalog: 2688.cat
Black segments are analyzed here.   Roll mouse over color images to view segments.
Best viewed in a wide browser window (1200 pixels or more).   Download SED & P(z) plots to view larger versions.
In P(z) plots: Yellow lines mark the cluster redshift z = 0.390,  

Object #2688   x,y = (1807, 1854)   RA, Dec = (11:50:54.528, -28:05:35.16) = (177.72720, -28.09310)   BPZ = 0.329 [0.288--0.430]   type = 1.90 (Ell6_A_0 - Ell7_A_0)   stellarity = 0.32   chisq2 = 0.01   ODDS = 0.69   z_cluster = 0.390