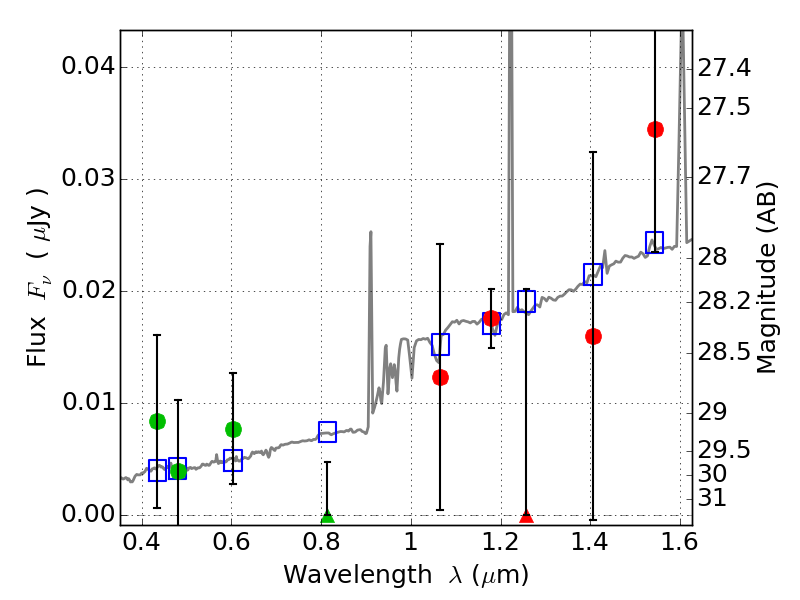
PLCKG287+32 IR detection object #2628

Color images and BPZ results
Catalog: 2628.cat
Black segments are analyzed here.   Roll mouse over color images to view segments.
Best viewed in a wide browser window (1200 pixels or more).   Download SED & P(z) plots to view larger versions.
In P(z) plots: Yellow lines mark the cluster redshift z = 0.390,  

Object #2628   x,y = (2662, 1949)   RA, Dec = (11:50:50.640, -28:05:29.40) = (177.71100, -28.09150)   BPZ = 1.437 [0.554--7.402]   type = 7.90 (SB1_B10 - Scd_B10)   stellarity = 0.72   chisq2 = 0.78   ODDS = 0.14   z_cluster = 0.390