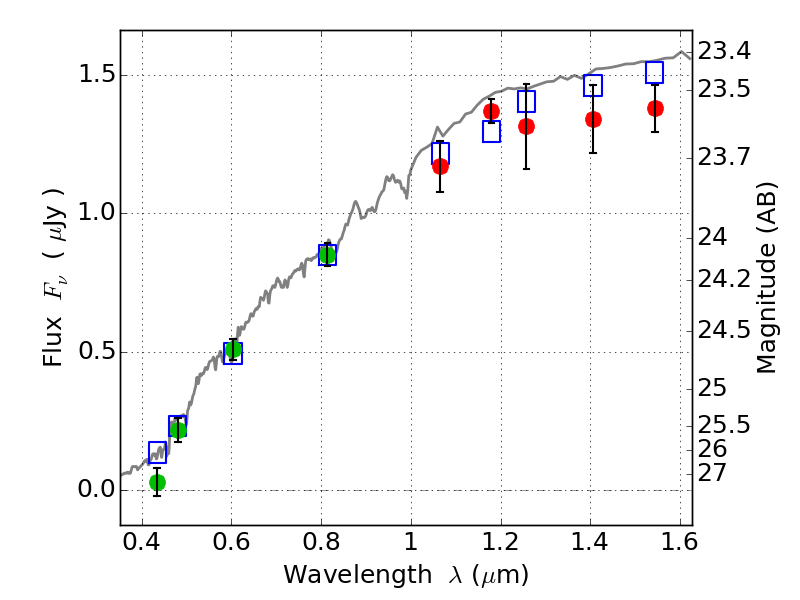
PLCKG287+32 IR detection object #2614

Color images and BPZ results
Catalog: 2614.cat
Black segments are analyzed here.   Roll mouse over color images to view segments.
Best viewed in a wide browser window (1200 pixels or more).   Download SED & P(z) plots to view larger versions.
In P(z) plots: Yellow lines mark the cluster redshift z = 0.390,  

Object #2614   x,y = (2336, 1831)   RA, Dec = (11:50:52.128, -28:05:36.60) = (177.71720, -28.09350)   BPZ = 0.158 [0.082--0.232]   type = 3.90 (Ell4_A_0 - Ell5_A_0)   stellarity = 0.02   chisq2 = 0.55   ODDS = 0.79   z_cluster = 0.390