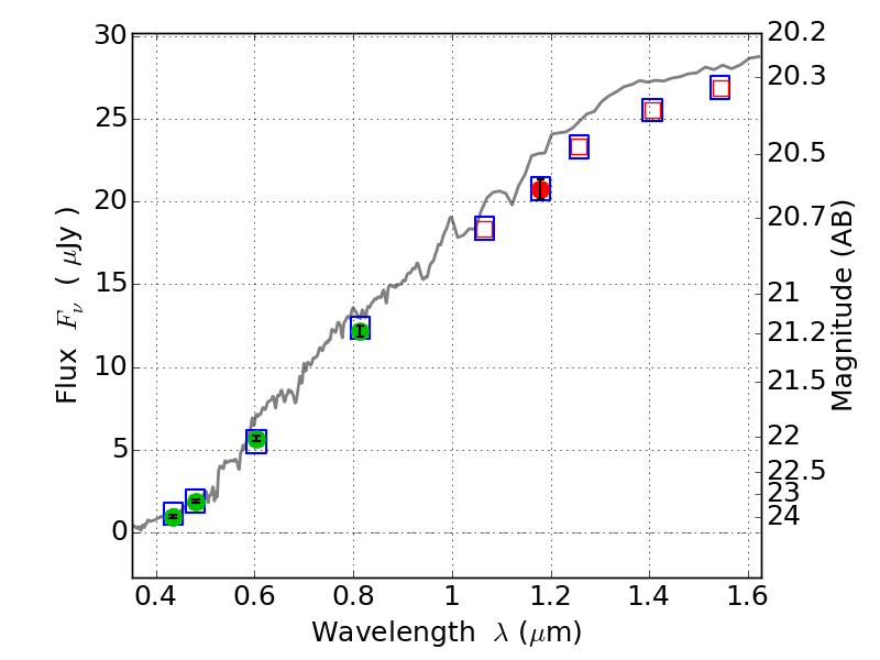
PLCKG287+32 IR detection object #258

Color images and BPZ results
Catalog: 258.cat
Black segments are analyzed here.   Roll mouse over color images to view segments.
Best viewed in a wide browser window (1200 pixels or more).   Download SED & P(z) plots to view larger versions.
In P(z) plots: Yellow lines mark the cluster redshift z = 0.390,  

Object #258   x,y = (1446, 3420)   RA, Dec = (11:50:56.160, -28:04:01.20) = (177.73400, -28.06700)   BPZ = 0.319 [0.237--0.375]   type = 2.60 (Ell5_A_0 - Ell6_A_0)   stellarity = 0.03   chisq2 = 0.02   ODDS = 0.79   z_cluster = 0.390