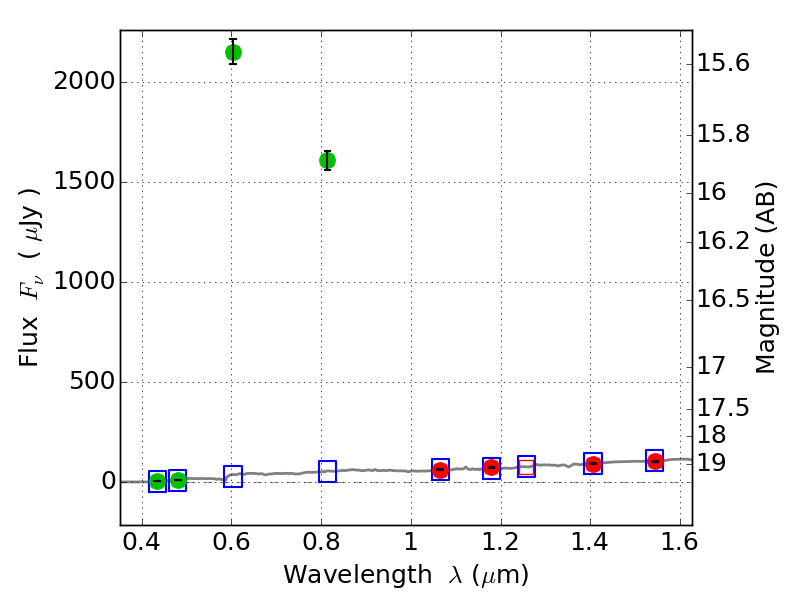
PLCKG287+32 IR detection object #2498

Color images and BPZ results
Catalog: 2498.cat
Black segments are analyzed here.   Roll mouse over color images to view segments.
Best viewed in a wide browser window (1200 pixels or more).   Download SED & P(z) plots to view larger versions.
In P(z) plots: Yellow lines mark the cluster redshift z = 0.390,  

Object #2498   x,y = (3485, 2152)   RA, Dec = (11:50:46.920, -28:05:17.52) = (177.69550, -28.08820)   BPZ = 3.834 [3.788--3.877]   type = 7.30 (Scd_B10 - SB1_B10)   stellarity = 0.03   chisq2 = 431.95   ODDS = 1.00   z_cluster = 0.390