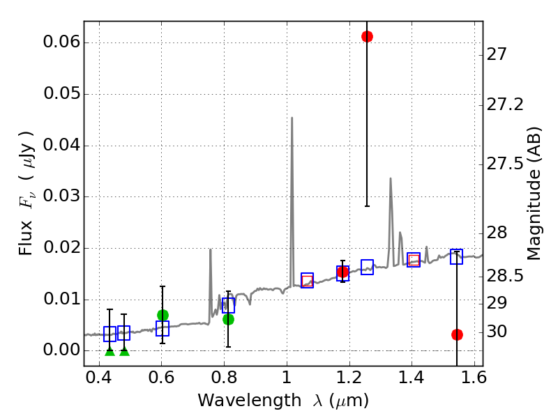
PLCKG287+32 IR detection object #2487

Color images and BPZ results
Catalog: 2487.cat
Black segments are analyzed here.   Roll mouse over color images to view segments.
Best viewed in a wide browser window (1200 pixels or more).   Download SED & P(z) plots to view larger versions.
In P(z) plots: Yellow lines mark the cluster redshift z = 0.390,  

Object #2487   x,y = (2946, 2009)   RA, Dec = (11:50:49.368, -28:05:25.80) = (177.70570, -28.09050)   BPZ = 1.031 [0.342--6.708]   type = 8.00 (SB1_B10)   stellarity = 0.44   chisq2 = 0.89   ODDS = 0.08   z_cluster = 0.390