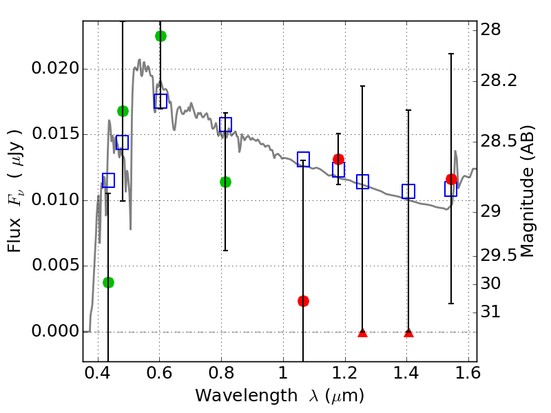
PLCKG287+32 IR detection object #2453

Color images and BPZ results
Catalog: 2453.cat
Black segments are analyzed here.   Roll mouse over color images to view segments.
Best viewed in a wide browser window (1200 pixels or more).   Download SED & P(z) plots to view larger versions.
In P(z) plots: Yellow lines mark the cluster redshift z = 0.390,  

Object #2453   x,y = (3016, 2024)   RA, Dec = (11:50:49.056, -28:05:25.08) = (177.70440, -28.09030)   BPZ = 3.179 [0.187--3.737]   type = 10.90 (SB11_A_0_l - SB3_B10)   stellarity = 0.54   chisq2 = 0.79   ODDS = 0.18   z_cluster = 0.390