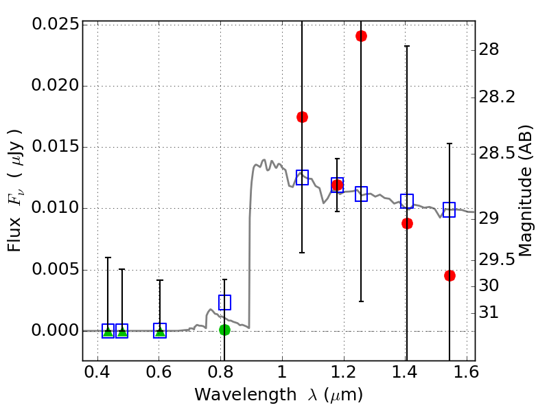
PLCKG287+32 IR detection object #2314

Color images and BPZ results
Catalog: 2314.cat
Black segments are analyzed here.   Roll mouse over color images to view segments.
Best viewed in a wide browser window (1200 pixels or more).   Download SED & P(z) plots to view larger versions.
In P(z) plots: Yellow lines mark the cluster redshift z = 0.390,  

Object #2314   x,y = (1813, 2108)   RA, Dec = (11:50:54.504, -28:05:20.04) = (177.72710, -28.08890)   BPZ = 6.346 [0.692--7.969]   type = 11.00 (SB11_A_0_l)   stellarity = 0.68   chisq2 = 0.18   ODDS = 0.20   z_cluster = 0.390