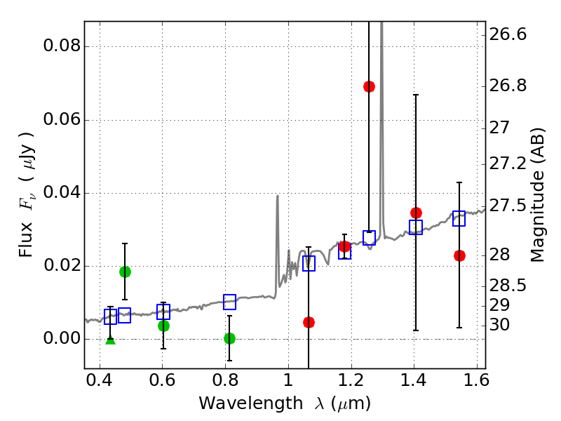
PLCKG287+32 IR detection object #2279

Color images and BPZ results
Catalog: 2279.cat
Black segments are analyzed here.   Roll mouse over color images to view segments.
Best viewed in a wide browser window (1200 pixels or more).   Download SED & P(z) plots to view larger versions.
In P(z) plots: Yellow lines mark the cluster redshift z = 0.390,  

Object #2279   x,y = (1681, 2130)   RA, Dec = (11:50:55.104, -28:05:18.60) = (177.72960, -28.08850)   BPZ = 1.589 [0.811--8.370]   type = 8.00 (SB1_B10)   stellarity = 0.02   chisq2 = 1.24   ODDS = 0.12   z_cluster = 0.390