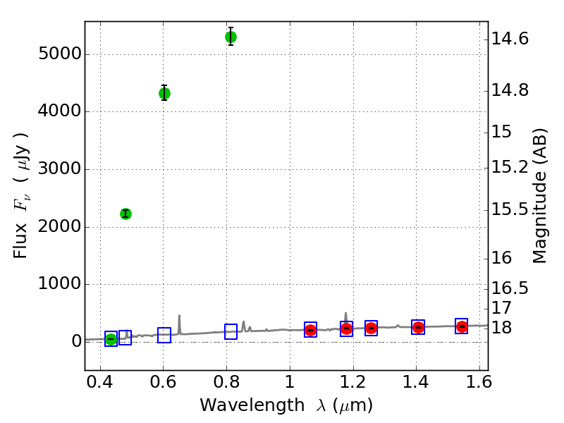
PLCKG287+32 IR detection object #2210

Color images and BPZ results
Catalog: 2210.cat
Black segments are analyzed here.   Roll mouse over color images to view segments.
Best viewed in a wide browser window (1200 pixels or more).   Download SED & P(z) plots to view larger versions.
In P(z) plots: Yellow lines mark the cluster redshift z = 0.390,  

Object #2210   x,y = (3543, 2197)   RA, Dec = (11:50:46.656, -28:05:14.64) = (177.69440, -28.08740)   BPZ = 0.296 [0.255--0.341]   type = 7.80 (SB1_B10 - Scd_B10)   stellarity = 0.03   chisq2 = 520.79   ODDS = 0.98   z_cluster = 0.390