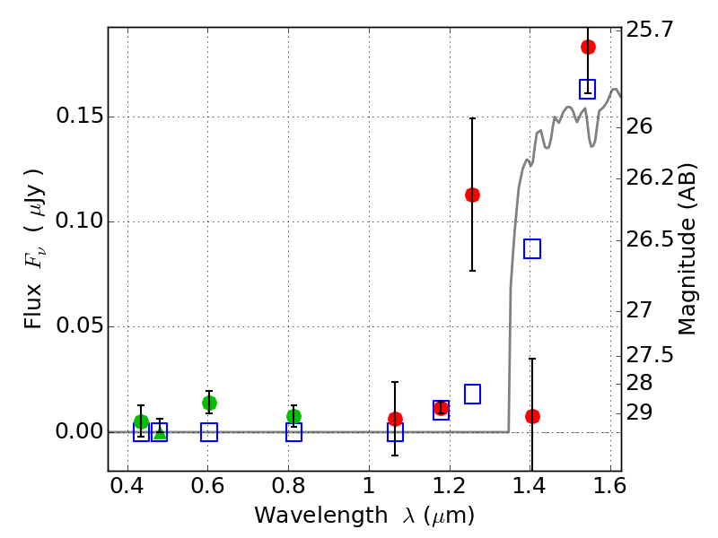
PLCKG287+32 IR detection object #221

Color images and BPZ results
Catalog: 221.cat
Black segments are analyzed here.   Roll mouse over color images to view segments.
Best viewed in a wide browser window (1200 pixels or more).   Download SED & P(z) plots to view larger versions.
In P(z) plots: Yellow lines mark the cluster redshift z = 0.390,  

Object #221   x,y = (2517, 3567)   RA, Dec = (11:50:51.312, -28:03:52.56) = (177.71380, -28.06460)   BPZ = 10.111 [9.873--10.321]   type = 9.00 (SB2_B10)   stellarity = 0.68   chisq2 = 2.73   ODDS = 0.99   z_cluster = 0.390