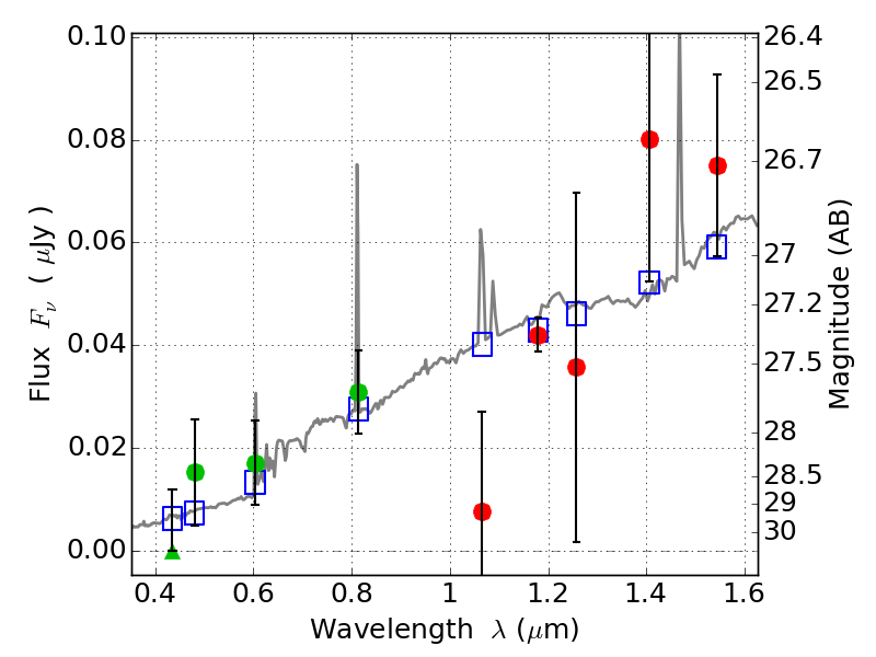
PLCKG287+32 IR detection object #2204

Color images and BPZ results
Catalog: 2204.cat
Black segments are analyzed here.   Roll mouse over color images to view segments.
Best viewed in a wide browser window (1200 pixels or more).   Download SED & P(z) plots to view larger versions.
In P(z) plots: Yellow lines mark the cluster redshift z = 0.390,  

Object #2204   x,y = (2358, 2181)   RA, Dec = (11:50:52.032, -28:05:15.72) = (177.71680, -28.08770)   BPZ = 0.616 [0.291--4.067]   type = 7.10 (Scd_B10 - SB1_B10)   stellarity = 0.71   chisq2 = 0.94   ODDS = 0.06   z_cluster = 0.390