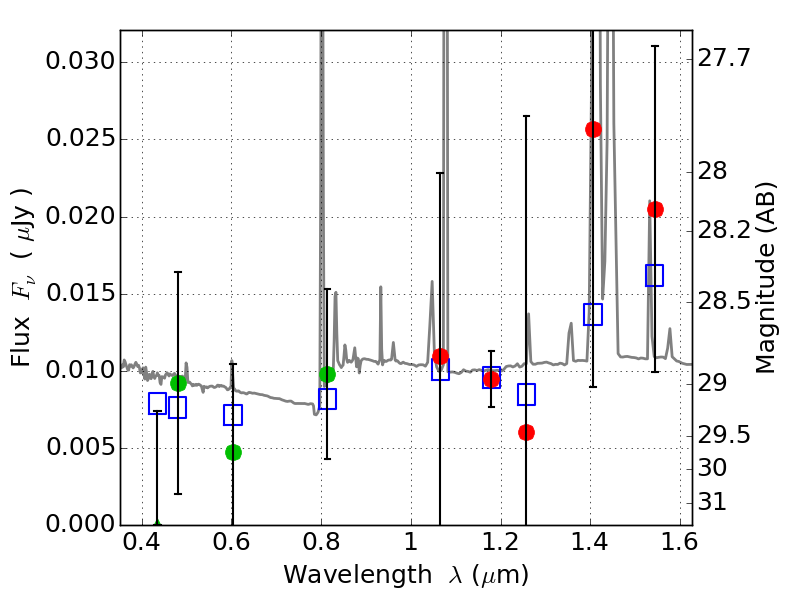
PLCKG287+32 IR detection object #2200

Color images and BPZ results
Catalog: 2200.cat
Black segments are analyzed here.   Roll mouse over color images to view segments.
Best viewed in a wide browser window (1200 pixels or more).   Download SED & P(z) plots to view larger versions.
In P(z) plots: Yellow lines mark the cluster redshift z = 0.390,  

Object #2200   x,y = (2807, 2189)   RA, Dec = (11:50:49.992, -28:05:15.00) = (177.70830, -28.08750)   BPZ = 1.151 [0.287--5.176]   type = 10.20 (SB3_B10 - SB11_A_0_l)   stellarity = 0.08   chisq2 = 0.35   ODDS = 0.06   z_cluster = 0.390