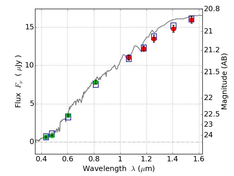
PLCKG287+32 IR detection object #2191

Color images and BPZ results
Catalog: 2191.cat
Black segments are analyzed here.   Roll mouse over color images to view segments.
Best viewed in a wide browser window (1200 pixels or more).   Download SED & P(z) plots to view larger versions.
In P(z) plots: Yellow lines mark the cluster redshift z = 0.390,  

Object #2191   x,y = (2771, 2170)   RA, Dec = (11:50:50.160, -28:05:16.08) = (177.70900, -28.08780)   BPZ = 0.365 [0.304--0.393]   type = 4.00 (Ell4_A_0)   stellarity = 0.03   chisq2 = 0.05   ODDS = 0.97   z_cluster = 0.390