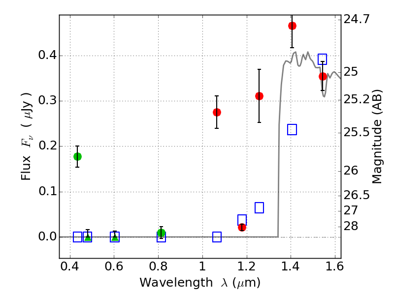
PLCKG287+32 IR detection object #2160

Color images and BPZ results
Catalog: 2160.cat
Black segments are analyzed here.   Roll mouse over color images to view segments.
Best viewed in a wide browser window (1200 pixels or more).   Download SED & P(z) plots to view larger versions.
In P(z) plots: Yellow lines mark the cluster redshift z = 0.390,  

Object #2160   x,y = (3882, 2174)   RA, Dec = (11:50:45.120, -28:05:16.08) = (177.68800, -28.08780)   BPZ = 10.068 [9.871--10.233]   type = 10.00 (SB3_B10)   stellarity = 0.01   chisq2 = 16.16   ODDS = 1.00   z_cluster = 0.390