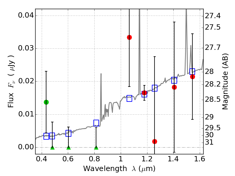
PLCKG287+32 IR detection object #2130

Color images and BPZ results
Catalog: 2130.cat
Black segments are analyzed here.   Roll mouse over color images to view segments.
Best viewed in a wide browser window (1200 pixels or more).   Download SED & P(z) plots to view larger versions.
In P(z) plots: Yellow lines mark the cluster redshift z = 0.390,  

Object #2130   x,y = (2437, 2227)   RA, Dec = (11:50:51.672, -28:05:12.84) = (177.71530, -28.08690)   BPZ = 1.285 [0.437--7.233]   type = 7.70 (SB1_B10 - Scd_B10)   stellarity = 0.44   chisq2 = 0.87   ODDS = 0.13   z_cluster = 0.390