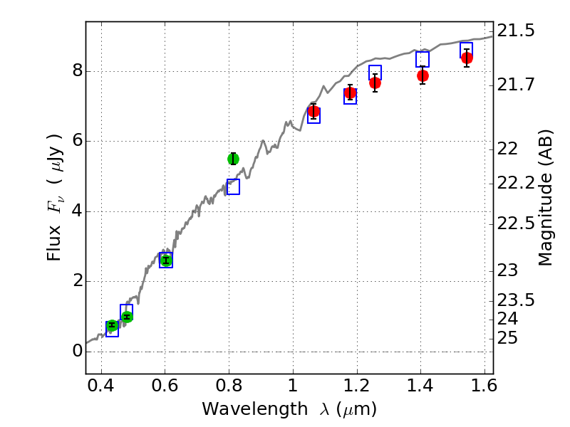
PLCKG287+32 IR detection object #2120

Color images and BPZ results
Catalog: 2120.cat
Black segments are analyzed here.   Roll mouse over color images to view segments.
Best viewed in a wide browser window (1200 pixels or more).   Download SED & P(z) plots to view larger versions.
In P(z) plots: Yellow lines mark the cluster redshift z = 0.390,  

Object #2120   x,y = (3345, 2219)   RA, Dec = (11:50:47.544, -28:05:13.20) = (177.69810, -28.08700)   BPZ = 0.196 [0.159--0.226]   type = 4.00 (Ell4_A_0)   stellarity = 0.98   chisq2 = 0.48   ODDS = 0.99   z_cluster = 0.390