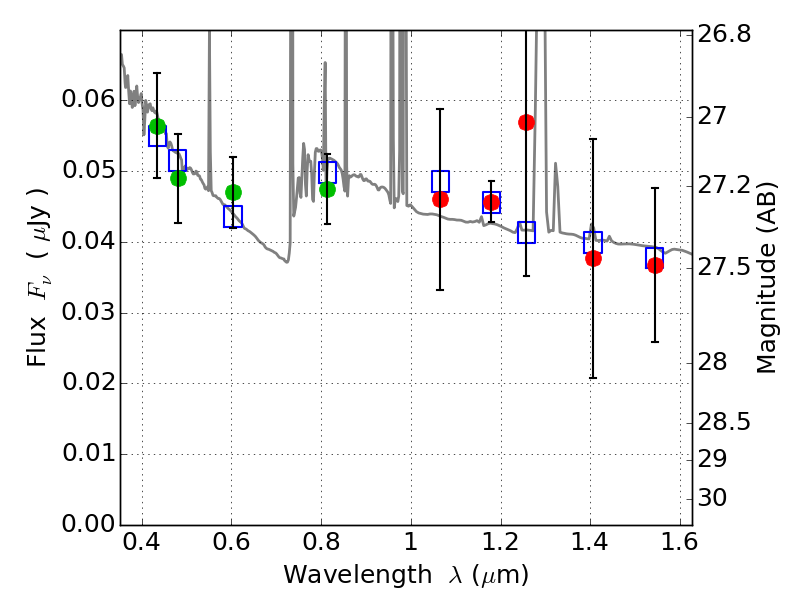
PLCKG287+32 IR detection object #2064

Color images and BPZ results
Catalog: 2064.cat
Black segments are analyzed here.   Roll mouse over color images to view segments.
Best viewed in a wide browser window (1200 pixels or more).   Download SED & P(z) plots to view larger versions.
In P(z) plots: Yellow lines mark the cluster redshift z = 0.390,  

Object #2064   x,y = (1962, 2264)   RA, Dec = (11:50:53.832, -28:05:10.68) = (177.72430, -28.08630)   BPZ = 0.973 [0.525--2.643]   type = 10.90 (SB11_A_0_l - SB3_B10)   stellarity = 0.89   chisq2 = 0.19   ODDS = 0.11   z_cluster = 0.390