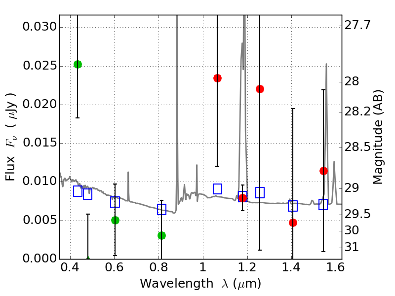
PLCKG287+32 IR detection object #2062

Color images and BPZ results
Catalog: 2062.cat
Black segments are analyzed here.   Roll mouse over color images to view segments.
Best viewed in a wide browser window (1200 pixels or more).   Download SED & P(z) plots to view larger versions.
In P(z) plots: Yellow lines mark the cluster redshift z = 0.390,  

Object #2062   x,y = (2425, 2282)   RA, Dec = (11:50:51.720, -28:05:09.60) = (177.71550, -28.08600)   BPZ = 1.371 [0.351--4.878]   type = 10.70 (SB11_A_0_l - SB3_B10)   stellarity = 0.24   chisq2 = 1.77   ODDS = 0.09   z_cluster = 0.390