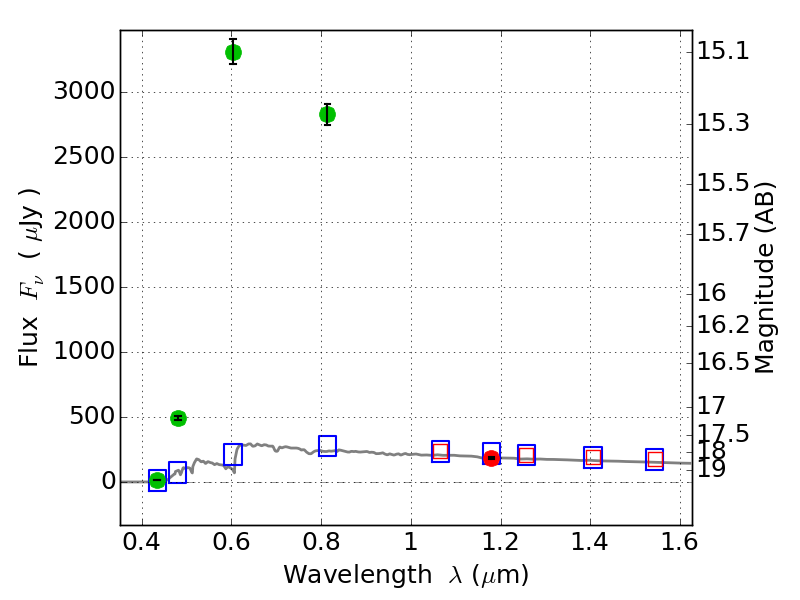
PLCKG287+32 IR detection object #2058

Color images and BPZ results
Catalog: 2058.cat
Black segments are analyzed here.   Roll mouse over color images to view segments.
Best viewed in a wide browser window (1200 pixels or more).   Download SED & P(z) plots to view larger versions.
In P(z) plots: Yellow lines mark the cluster redshift z = 0.390,  

Object #2058   x,y = (3892, 2375)   RA, Dec = (11:50:45.072, -28:05:03.84) = (177.68780, -28.08440)   BPZ = 4.004 [3.987--4.021]   type = 11.00 (SB11_A_0_l)   stellarity = 0.03   chisq2 = 1094.67   ODDS = 1.00   z_cluster = 0.390