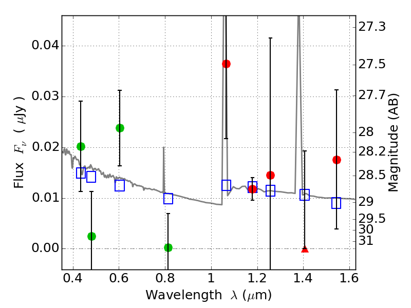
PLCKG287+32 IR detection object #2044

Color images and BPZ results
Catalog: 2044.cat
Black segments are analyzed here.   Roll mouse over color images to view segments.
Best viewed in a wide browser window (1200 pixels or more).   Download SED & P(z) plots to view larger versions.
In P(z) plots: Yellow lines mark the cluster redshift z = 0.390,  

Object #2044   x,y = (2720, 2296)   RA, Dec = (11:50:50.376, -28:05:08.88) = (177.70990, -28.08580)   BPZ = 1.841 [0.337--3.865]   type = 11.00 (SB11_A_0_l)   stellarity = 0.01   chisq2 = 1.62   ODDS = 0.10   z_cluster = 0.390