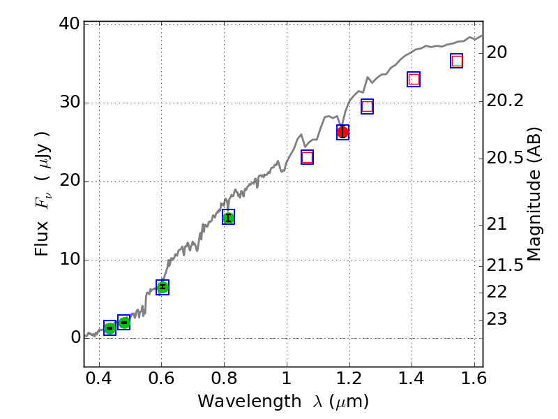
PLCKG287+32 IR detection object #2019

Color images and BPZ results
Catalog: 2019.cat
Black segments are analyzed here.   Roll mouse over color images to view segments.
Best viewed in a wide browser window (1200 pixels or more).   Download SED & P(z) plots to view larger versions.
In P(z) plots: Yellow lines mark the cluster redshift z = 0.390,  

Object #2019   x,y = (1622, 2242)   RA, Dec = (11:50:55.368, -28:05:11.76) = (177.73070, -28.08660)   BPZ = 0.384 [0.312--0.432]   type = 3.10 (Ell5_A_0 - Ell4_A_0)   stellarity = 0.11   chisq2 = 0.00   ODDS = 0.93   z_cluster = 0.390