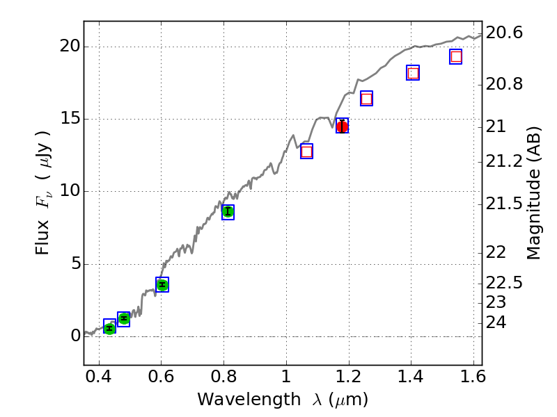
PLCKG287+32 IR detection object #1967

Color images and BPZ results
Catalog: 1967.cat
Black segments are analyzed here.   Roll mouse over color images to view segments.
Best viewed in a wide browser window (1200 pixels or more).   Download SED & P(z) plots to view larger versions.
In P(z) plots: Yellow lines mark the cluster redshift z = 0.390,  

Object #1967   x,y = (4062, 2215)   RA, Dec = (11:50:44.304, -28:05:13.56) = (177.68460, -28.08710)   BPZ = 0.354 [0.286--0.433]   type = 2.60 (Ell5_A_0 - Ell6_A_0)   stellarity = 0.03   chisq2 = 0.02   ODDS = 0.82   z_cluster = 0.390