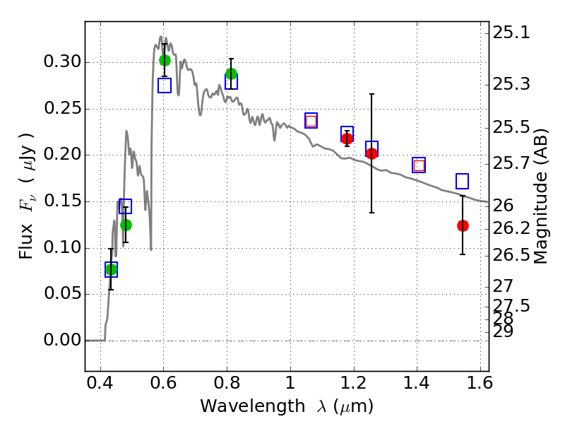
PLCKG287+32 IR detection object #1958

Color images and BPZ results
Catalog: 1958.cat
Black segments are analyzed here.   Roll mouse over color images to view segments.
Best viewed in a wide browser window (1200 pixels or more).   Download SED & P(z) plots to view larger versions.
In P(z) plots: Yellow lines mark the cluster redshift z = 0.390,  

Object #1958   x,y = (3052, 2339)   RA, Dec = (11:50:48.888, -28:05:06.00) = (177.70370, -28.08500)   BPZ = 3.620 [3.494--3.729]   type = 11.00 (SB11_A_0_l)   stellarity = 0.30   chisq2 = 0.88   ODDS = 1.00   z_cluster = 0.390