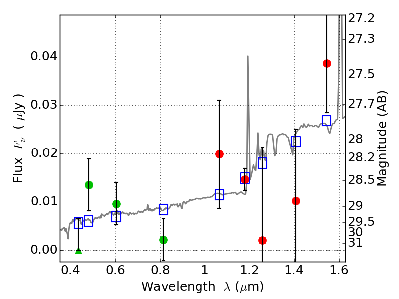
PLCKG287+32 IR detection object #1939

Color images and BPZ results
Catalog: 1939.cat
Black segments are analyzed here.   Roll mouse over color images to view segments.
Best viewed in a wide browser window (1200 pixels or more).   Download SED & P(z) plots to view larger versions.
In P(z) plots: Yellow lines mark the cluster redshift z = 0.390,  

Object #1939   x,y = (1798, 2361)   RA, Dec = (11:50:54.576, -28:05:04.92) = (177.72740, -28.08470)   BPZ = 2.199 [0.614--3.457]   type = 8.30 (SB1_B10 - SB2_B10)   stellarity = 0.42   chisq2 = 1.29   ODDS = 0.14   z_cluster = 0.390