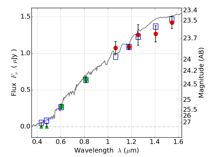
PLCKG287+32 IR detection object #1925

Color images and BPZ results
Catalog: 1925.cat
Black segments are analyzed here.   Roll mouse over color images to view segments.
Best viewed in a wide browser window (1200 pixels or more).   Download SED & P(z) plots to view larger versions.
In P(z) plots: Yellow lines mark the cluster redshift z = 0.390,  

Object #1925   x,y = (3088, 2303)   RA, Dec = (11:50:48.720, -28:05:08.16) = (177.70300, -28.08560)   BPZ = 0.378 [0.269--0.511]   type = 2.90 (Ell5_A_0 - Ell6_A_0)   stellarity = 0.02   chisq2 = 0.38   ODDS = 0.65   z_cluster = 0.390