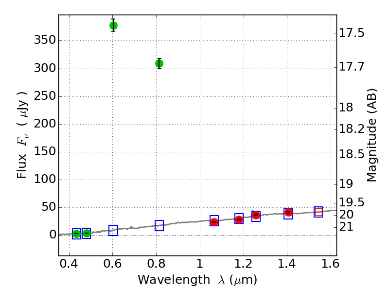
PLCKG287+32 IR detection object #1905

Color images and BPZ results
Catalog: 1905.cat
Black segments are analyzed here.   Roll mouse over color images to view segments.
Best viewed in a wide browser window (1200 pixels or more).   Download SED & P(z) plots to view larger versions.
In P(z) plots: Yellow lines mark the cluster redshift z = 0.390,  

Object #1905   x,y = (3515, 2197)   RA, Dec = (11:50:46.776, -28:05:14.64) = (177.69490, -28.08740)   BPZ = 0.366 [0.319--0.407]   type = 6.10 (Sbc_B10 - Scd_B10)   stellarity = 0.03   chisq2 = 394.02   ODDS = 0.98   z_cluster = 0.390