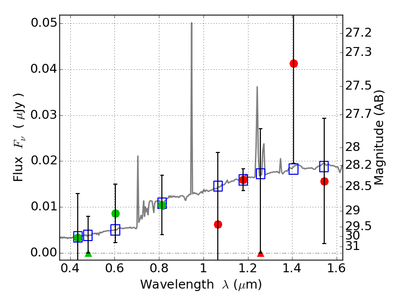
PLCKG287+32 IR detection object #1890

Color images and BPZ results
Catalog: 1890.cat
Black segments are analyzed here.   Roll mouse over color images to view segments.
Best viewed in a wide browser window (1200 pixels or more).   Download SED & P(z) plots to view larger versions.
In P(z) plots: Yellow lines mark the cluster redshift z = 0.390,  

Object #1890   x,y = (2035, 2414)   RA, Dec = (11:50:53.496, -28:05:01.68) = (177.72290, -28.08380)   BPZ = 0.894 [0.293--5.579]   type = 8.10 (SB1_B10 - SB2_B10)   stellarity = 0.08   chisq2 = 0.40   ODDS = 0.07   z_cluster = 0.390