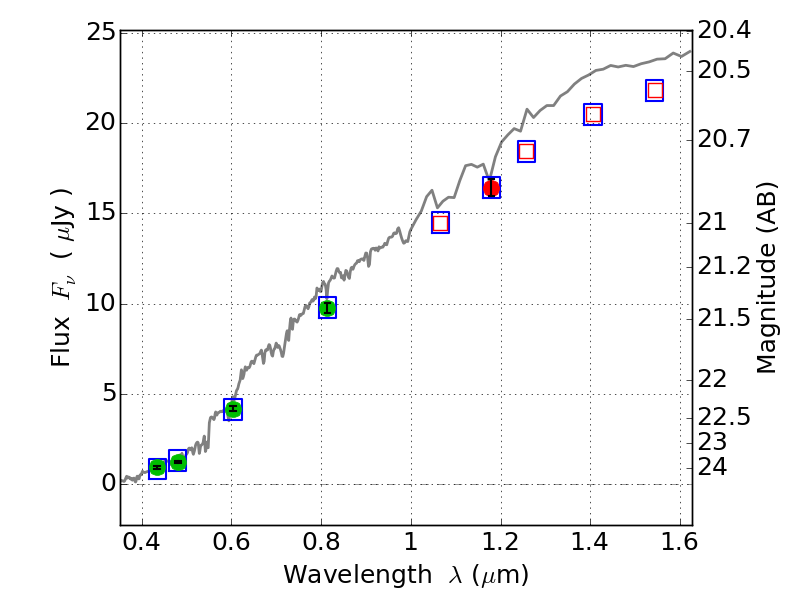
PLCKG287+32 IR detection object #1852

Color images and BPZ results
Catalog: 1852.cat
Black segments are analyzed here.   Roll mouse over color images to view segments.
Best viewed in a wide browser window (1200 pixels or more).   Download SED & P(z) plots to view larger versions.
In P(z) plots: Yellow lines mark the cluster redshift z = 0.390,  

Object #1852   x,y = (1153, 2368)   RA, Dec = (11:50:57.504, -28:05:04.20) = (177.73960, -28.08450)   BPZ = 0.376 [0.309--0.421]   type = 3.40 (Ell5_A_0 - Ell4_A_0)   stellarity = 0.03   chisq2 = 0.00   ODDS = 0.95   z_cluster = 0.390