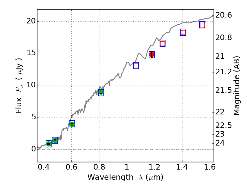
PLCKG287+32 IR detection object #1830

Color images and BPZ results
Catalog: 1830.cat
Black segments are analyzed here.   Roll mouse over color images to view segments.
Best viewed in a wide browser window (1200 pixels or more).   Download SED & P(z) plots to view larger versions.
In P(z) plots: Yellow lines mark the cluster redshift z = 0.390,  

Object #1830   x,y = (1504, 2333)   RA, Dec = (11:50:55.896, -28:05:06.36) = (177.73290, -28.08510)   BPZ = 0.327 [0.254--0.382]   type = 4.20 (Ell4_A_0 - ES0_B10)   stellarity = 0.03   chisq2 = 0.01   ODDS = 0.89   z_cluster = 0.390