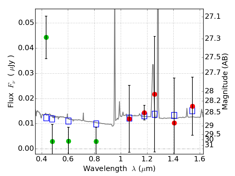
PLCKG287+32 IR detection object #1803

Color images and BPZ results
Catalog: 1803.cat
Black segments are analyzed here.   Roll mouse over color images to view segments.
Best viewed in a wide browser window (1200 pixels or more).   Download SED & P(z) plots to view larger versions.
In P(z) plots: Yellow lines mark the cluster redshift z = 0.390,  

Object #1803   x,y = (3591, 2447)   RA, Dec = (11:50:46.440, -28:04:59.52) = (177.69350, -28.08320)   BPZ = 1.564 [0.523--3.164]   type = 10.30 (SB3_B10 - SB11_A_0_l)   stellarity = 0.00   chisq2 = 3.26   ODDS = 0.15   z_cluster = 0.390