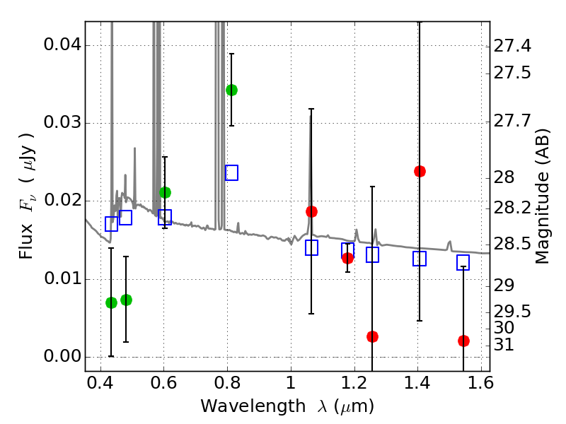
PLCKG287+32 IR detection object #1788

Color images and BPZ results
Catalog: 1788.cat
Black segments are analyzed here.   Roll mouse over color images to view segments.
Best viewed in a wide browser window (1200 pixels or more).   Download SED & P(z) plots to view larger versions.
In P(z) plots: Yellow lines mark the cluster redshift z = 0.390,  

Object #1788   x,y = (2007, 2457)   RA, Dec = (11:50:53.616, -28:04:59.16) = (177.72340, -28.08310)   BPZ = 0.171 [0.102--3.956]   type = 10.90 (SB11_A_0_l - SB3_B10)   stellarity = 0.50   chisq2 = 2.08   ODDS = 0.28   z_cluster = 0.390