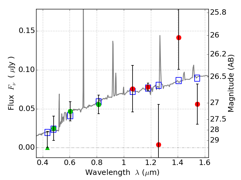
PLCKG287+32 IR detection object #1764

Color images and BPZ results
Catalog: 1764.cat
Black segments are analyzed here.   Roll mouse over color images to view segments.
Best viewed in a wide browser window (1200 pixels or more).   Download SED & P(z) plots to view larger versions.
In P(z) plots: Yellow lines mark the cluster redshift z = 0.390,  

Object #1764   x,y = (2984, 2464)   RA, Dec = (11:50:49.200, -28:04:58.44) = (177.70500, -28.08290)   BPZ = 0.397 [0.164--4.099]   type = 8.20 (SB1_B10 - SB2_B10)   stellarity = 0.00   chisq2 = 1.10   ODDS = 0.11   z_cluster = 0.390