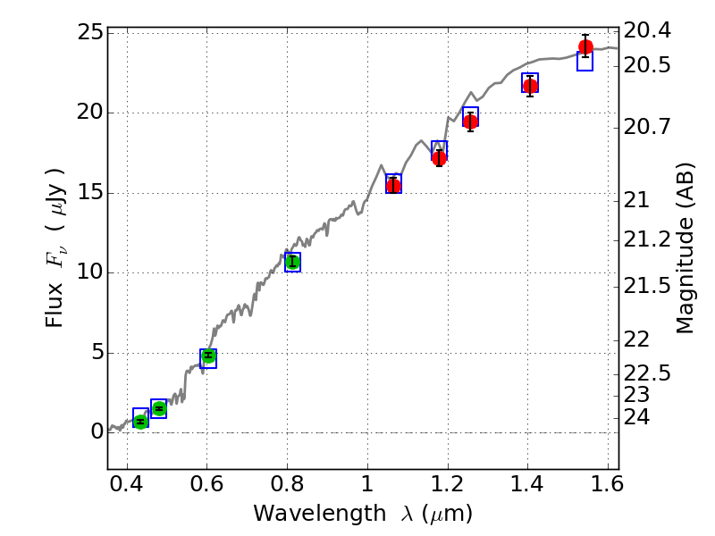
PLCKG287+32 IR detection object #1734

Color images and BPZ results
Catalog: 1734.cat
Black segments are analyzed here.   Roll mouse over color images to view segments.
Best viewed in a wide browser window (1200 pixels or more).   Download SED & P(z) plots to view larger versions.
In P(z) plots: Yellow lines mark the cluster redshift z = 0.390,  

Object #1734   x,y = (3357, 2453)   RA, Dec = (11:50:47.496, -28:04:59.16) = (177.69790, -28.08310)   BPZ = 0.368 [0.289--0.401]   type = 3.70 (Ell4_A_0 - Ell5_A_0)   stellarity = 0.03   chisq2 = 0.09   ODDS = 0.92   z_cluster = 0.390