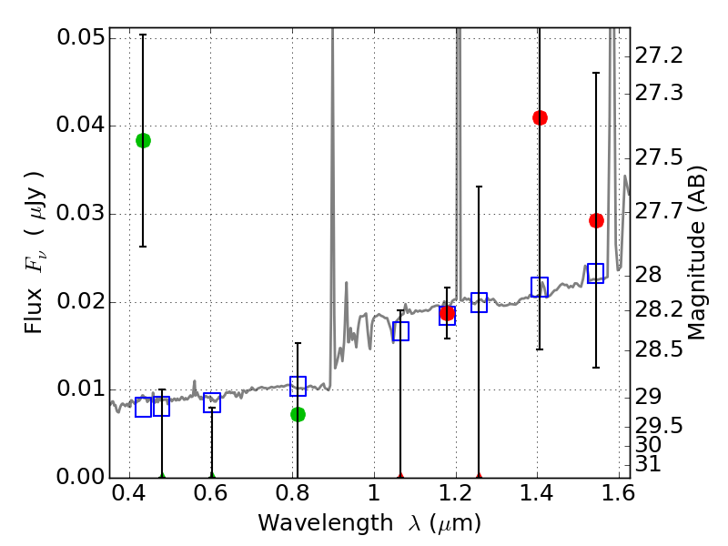
PLCKG287+32 IR detection object #1675

Color images and BPZ results
Catalog: 1675.cat
Black segments are analyzed here.   Roll mouse over color images to view segments.
Best viewed in a wide browser window (1200 pixels or more).   Download SED & P(z) plots to view larger versions.
In P(z) plots: Yellow lines mark the cluster redshift z = 0.390,  

Object #1675   x,y = (2038, 2528)   RA, Dec = (11:50:53.472, -28:04:54.84) = (177.72280, -28.08190)   BPZ = 1.415 [0.424--6.612]   type = 9.30 (SB2_B10 - SB3_B10)   stellarity = 0.01   chisq2 = 1.65   ODDS = 0.10   z_cluster = 0.390