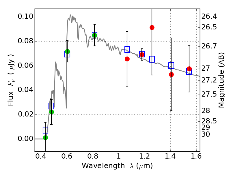
PLCKG287+32 IR detection object #1669

Color images and BPZ results
Catalog: 1669.cat
Black segments are analyzed here.   Roll mouse over color images to view segments.
Best viewed in a wide browser window (1200 pixels or more).   Download SED & P(z) plots to view larger versions.
In P(z) plots: Yellow lines mark the cluster redshift z = 0.390,  

Object #1669   x,y = (1561, 2524)   RA, Dec = (11:50:55.656, -28:04:55.20) = (177.73190, -28.08200)   BPZ = 3.909 [3.619--4.154]   type = 10.80 (SB11_A_0_l - SB3_B10)   stellarity = 0.17   chisq2 = 0.17   ODDS = 0.86   z_cluster = 0.390