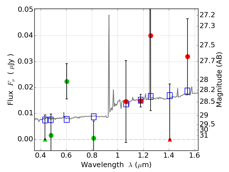
PLCKG287+32 IR detection object #1647

Color images and BPZ results
Catalog: 1647.cat
Black segments are analyzed here.   Roll mouse over color images to view segments.
Best viewed in a wide browser window (1200 pixels or more).   Download SED & P(z) plots to view larger versions.
In P(z) plots: Yellow lines mark the cluster redshift z = 0.390,  

Object #1647   x,y = (3147, 2554)   RA, Dec = (11:50:48.456, -28:04:53.40) = (177.70190, -28.08150)   BPZ = 1.499 [0.362--6.486]   type = 9.50 (SB3_B10 - SB2_B10)   stellarity = 0.01   chisq2 = 1.55   ODDS = 0.07   z_cluster = 0.390