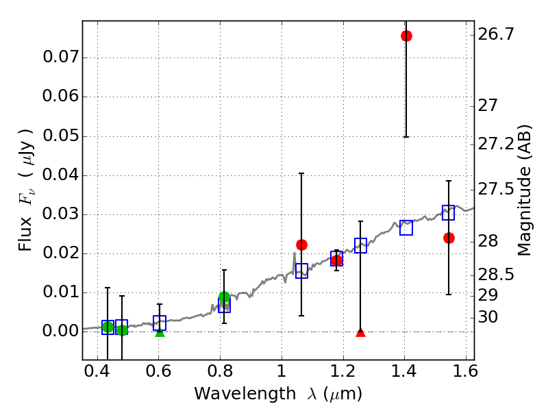
PLCKG287+32 IR detection object #1634

Color images and BPZ results
Catalog: 1634.cat
Black segments are analyzed here.   Roll mouse over color images to view segments.
Best viewed in a wide browser window (1200 pixels or more).   Download SED & P(z) plots to view larger versions.
In P(z) plots: Yellow lines mark the cluster redshift z = 0.390,  

Object #1634   x,y = (3153, 2562)   RA, Dec = (11:50:48.432, -28:04:52.68) = (177.70180, -28.08130)   BPZ = 1.080 [0.415--7.210]   type = 6.10 (Sbc_B10 - Scd_B10)   stellarity = 0.13   chisq2 = 0.79   ODDS = 0.09   z_cluster = 0.390