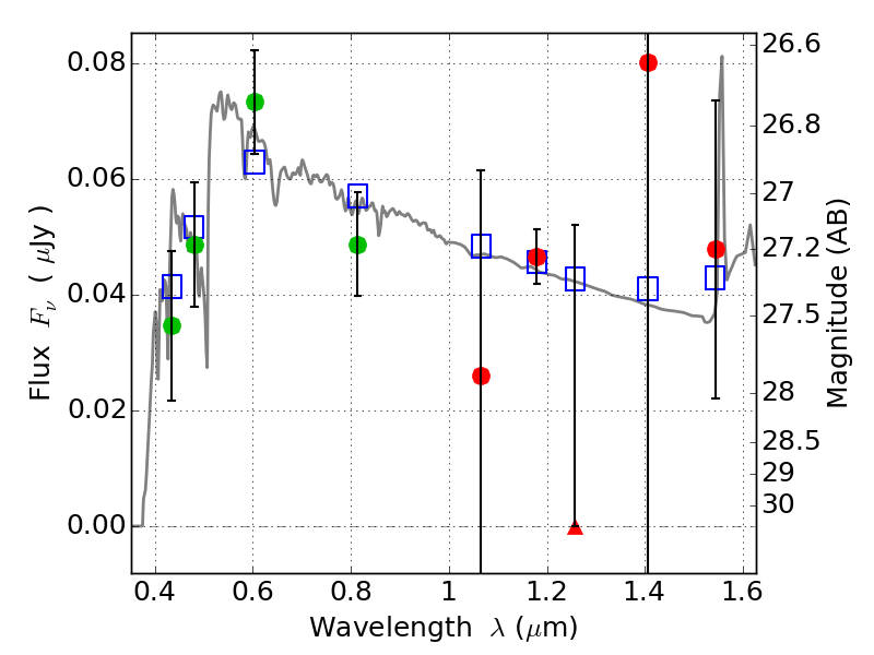
PLCKG287+32 IR detection object #1625

Color images and BPZ results
Catalog: 1625.cat
Black segments are analyzed here.   Roll mouse over color images to view segments.
Best viewed in a wide browser window (1200 pixels or more).   Download SED & P(z) plots to view larger versions.
In P(z) plots: Yellow lines mark the cluster redshift z = 0.390,  

Object #1625   x,y = (3931, 2657)   RA, Dec = (11:50:44.904, -28:04:46.92) = (177.68710, -28.07970)   BPZ = 3.174 [0.232--3.445]   type = 10.70 (SB11_A_0_l - SB3_B10)   stellarity = 0.00   chisq2 = 0.54   ODDS = 0.45   z_cluster = 0.390