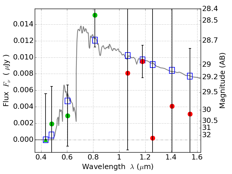
PLCKG287+32 IR detection object #1564

Color images and BPZ results
Catalog: 1564.cat
Black segments are analyzed here.   Roll mouse over color images to view segments.
Best viewed in a wide browser window (1200 pixels or more).   Download SED & P(z) plots to view larger versions.
In P(z) plots: Yellow lines mark the cluster redshift z = 0.390,  

Object #1564   x,y = (3874, 2601)   RA, Dec = (11:50:45.168, -28:04:50.52) = (177.68820, -28.08070)   BPZ = 4.510 [0.255--5.208]   type = 11.00 (SB11_A_0_l)   stellarity = 0.05   chisq2 = 0.29   ODDS = 0.19   z_cluster = 0.390