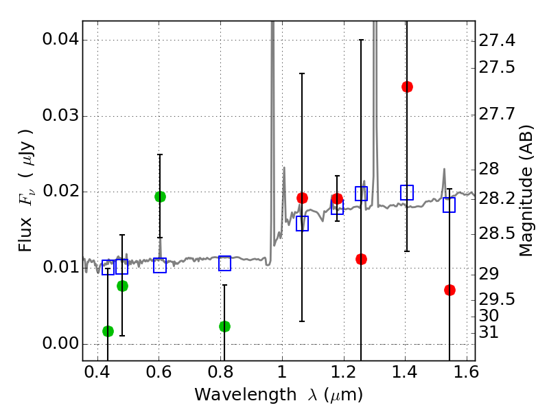
PLCKG287+32 IR detection object #1531

Color images and BPZ results
Catalog: 1531.cat
Black segments are analyzed here.   Roll mouse over color images to view segments.
Best viewed in a wide browser window (1200 pixels or more).   Download SED & P(z) plots to view larger versions.
In P(z) plots: Yellow lines mark the cluster redshift z = 0.390,  

Object #1531   x,y = (1460, 2621)   RA, Dec = (11:50:56.112, -28:04:49.08) = (177.73380, -28.08030)   BPZ = 1.598 [0.283--4.014]   type = 9.70 (SB3_B10 - SB2_B10)   stellarity = 0.07   chisq2 = 1.22   ODDS = 0.13   z_cluster = 0.390