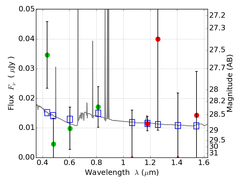
PLCKG287+32 IR detection object #1506

Color images and BPZ results
Catalog: 1506.cat
Black segments are analyzed here.   Roll mouse over color images to view segments.
Best viewed in a wide browser window (1200 pixels or more).   Download SED & P(z) plots to view larger versions.
In P(z) plots: Yellow lines mark the cluster redshift z = 0.390,  

Object #1506   x,y = (2385, 2638)   RA, Dec = (11:50:51.912, -28:04:48.00) = (177.71630, -28.08000)   BPZ = 0.778 [0.178--3.812]   type = 11.00 (SB11_A_0_l)   stellarity = 0.00   chisq2 = 1.03   ODDS = 0.05   z_cluster = 0.390