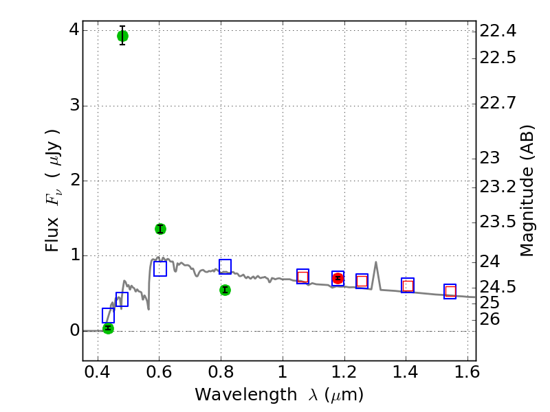
PLCKG287+32 IR detection object #146

Color images and BPZ results
Catalog: 146.cat
Black segments are analyzed here.   Roll mouse over color images to view segments.
Best viewed in a wide browser window (1200 pixels or more).   Download SED & P(z) plots to view larger versions.
In P(z) plots: Yellow lines mark the cluster redshift z = 0.390,  

Object #146   x,y = (3958, 3574)   RA, Dec = (11:50:44.784, -28:03:51.84) = (177.68660, -28.06440)   BPZ = 3.658 [3.617--3.701]   type = 11.00 (SB11_A_0_l)   stellarity = 0.03   chisq2 = 384.69   ODDS = 1.00   z_cluster = 0.390