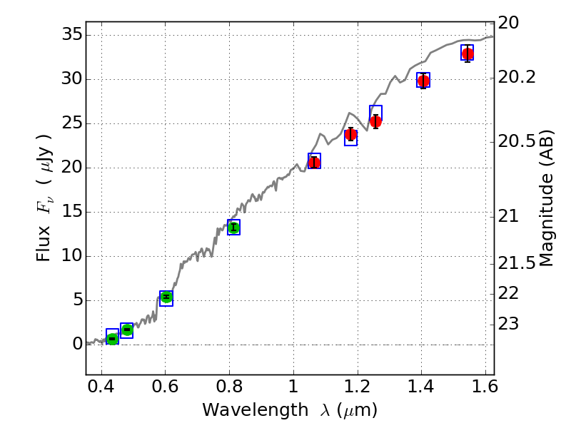
PLCKG287+32 IR detection object #1346

Color images and BPZ results
Catalog: 1346.cat
Black segments are analyzed here.   Roll mouse over color images to view segments.
Best viewed in a wide browser window (1200 pixels or more).   Download SED & P(z) plots to view larger versions.
In P(z) plots: Yellow lines mark the cluster redshift z = 0.390,  

Object #1346   x,y = (2540, 2737)   RA, Dec = (11:50:51.216, -28:04:42.24) = (177.71340, -28.07840)   BPZ = 0.438 [0.337--0.473]   type = 4.20 (Ell4_A_0 - ES0_B10)   stellarity = 0.03   chisq2 = 0.04   ODDS = 0.89   z_cluster = 0.390