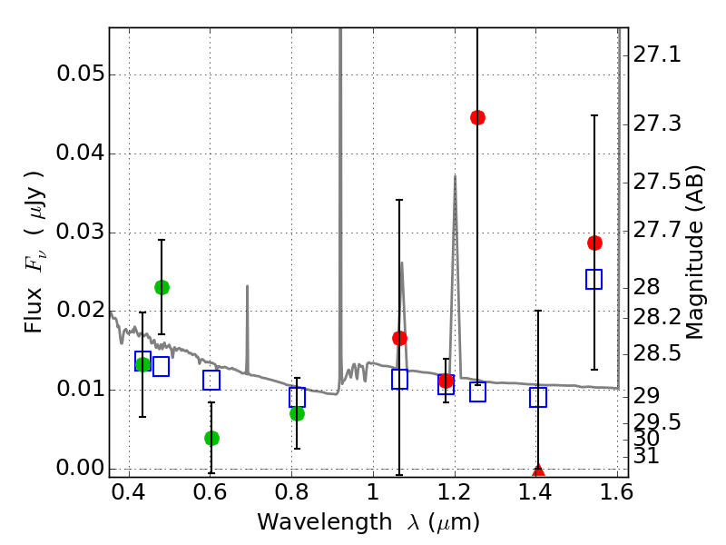
PLCKG287+32 IR detection object #1323

Color images and BPZ results
Catalog: 1323.cat
Black segments are analyzed here.   Roll mouse over color images to view segments.
Best viewed in a wide browser window (1200 pixels or more).   Download SED & P(z) plots to view larger versions.
In P(z) plots: Yellow lines mark the cluster redshift z = 0.390,  

Object #1323   x,y = (3915, 2784)   RA, Dec = (11:50:44.976, -28:04:39.36) = (177.68740, -28.07760)   BPZ = 1.469 [0.456--3.061]   type = 11.00 (SB11_A_0_l)   stellarity = 0.08   chisq2 = 1.10   ODDS = 0.12   z_cluster = 0.390