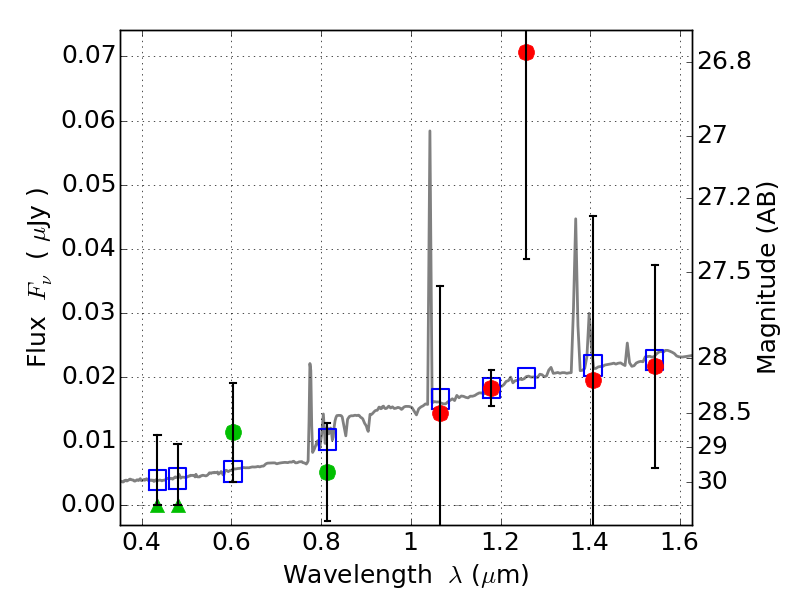
PLCKG287+32 IR detection object #1294

Color images and BPZ results
Catalog: 1294.cat
Black segments are analyzed here.   Roll mouse over color images to view segments.
Best viewed in a wide browser window (1200 pixels or more).   Download SED & P(z) plots to view larger versions.
In P(z) plots: Yellow lines mark the cluster redshift z = 0.390,  

Object #1294   x,y = (2923, 2807)   RA, Dec = (11:50:49.464, -28:04:37.92) = (177.70610, -28.07720)   BPZ = 1.078 [0.351--7.181]   type = 8.00 (SB1_B10)   stellarity = 0.08   chisq2 = 0.64   ODDS = 0.07   z_cluster = 0.390